序列发生器和序列检测器设计VHDL代码Quartus仿真
名称:序列发生器和序列检测器设计VHDL代码Quartus仿真
软件:Quartus
语言:VHDL
代码功能:
序列发生器和序列检测器
1、使用状态机的方法设计序列检测器,检测“1100”序列
2、设计伪随机序列发生器,用于作为序列检测器的检测源
3、通过触发器输出检测结果
FPGA代码Verilog/VHDL代码资源下载:www.hdlcode.com
演示视频:
设计文档:
1. 工程文件

2. 程序文件




3. 程序编译

4. RTL图
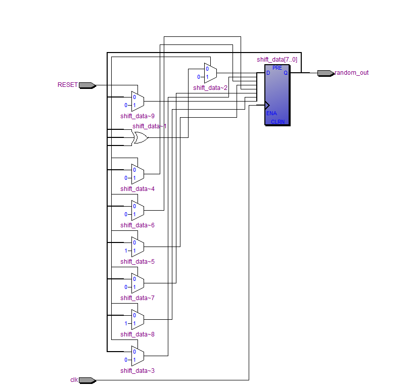
整体RTL

M序列RTL

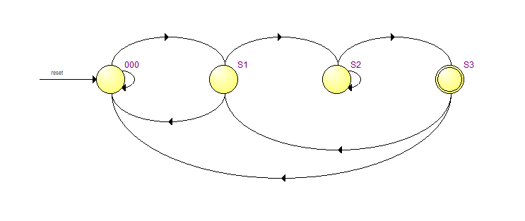
状态控制模块RTL

状态机视图

D触发器模块RTL

5. Testbench

6. 仿真图
整体仿真



M序列仿真

状态控制模块仿真

D触发器模块仿真

部分代码展示:
//序列检测器,检测“1100”序列 module sequence_detection( input clk,//时钟 input RESET,//复位 output detection_result//检测结果 ); wire random_out;//伪随机序列 wire detection_result_reg; //伪随机序列发生器,用于作为序列检测器的检测源 random_code i_random_code( . clk(clk),//时钟 . RESET(RESET),//复位 . random_out(random_out)//输出伪随机信号 ); //状态机控制模块 state_ctrl i_state_ctrl( . clk(clk),//时钟 . data_in(random_out),//序列输入 . detection_result_reg(detection_result_reg)//检测结果 );
代码文件(付费下载):
![]()
1、代码文件需要付费后才可见。
2、支付问题请联系微信公众号客服。
3、优质Verilog/VHDL代码资源,所见即所得。
Verilog/VHDL资源下载 » 序列发生器和序列检测器设计VHDL代码Quartus仿真
2、支付问题请联系微信公众号客服。
3、优质Verilog/VHDL代码资源,所见即所得。
Verilog/VHDL资源下载 » 序列发生器和序列检测器设计VHDL代码Quartus仿真
发表评论
模板文件不存在: ./template/plugins/comment/pc/index.htm